MAT01191 - Vetores e Geometria Analítica

GABARITO RABISCADO R2-2017/1
Prezado aluno, se você não quer seu trabalho exposto aqui, ou deseja créditos por ele, comunique seu professor a respeito.

Item 1

Item 2-A

Item 2

Item 3-A

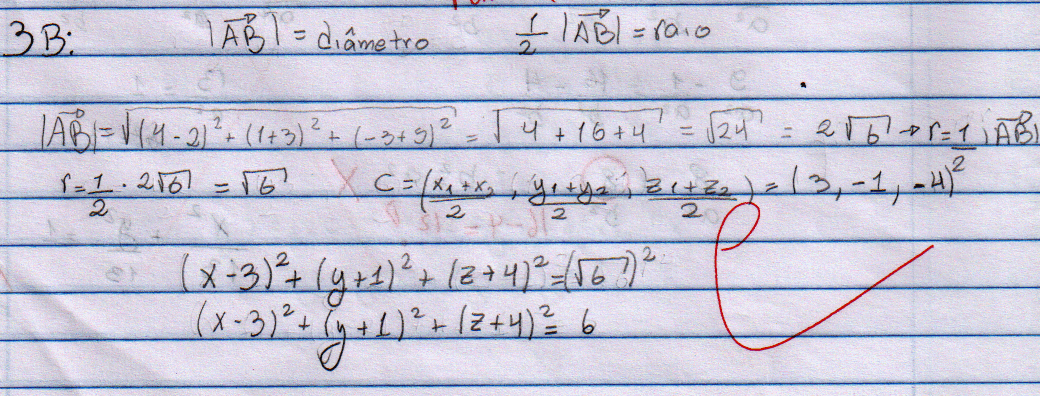
Item 3-B

Item 3-C

Item 3-D

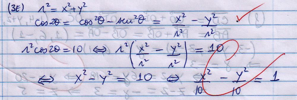
Item 3-E

JBC, 01/08/2017