MAT01191 - Vetores e Geometria Analítica

GABARITO RABISCADO P2A-2017/1
Prezado aluno, se você não quer seu trabalho exposto aqui, ou deseja créditos por ele, comunique seu professor a respeito.

Item 1

Item 2

Item 3-A

Item 3-B

Item 3-C

Item 3-D

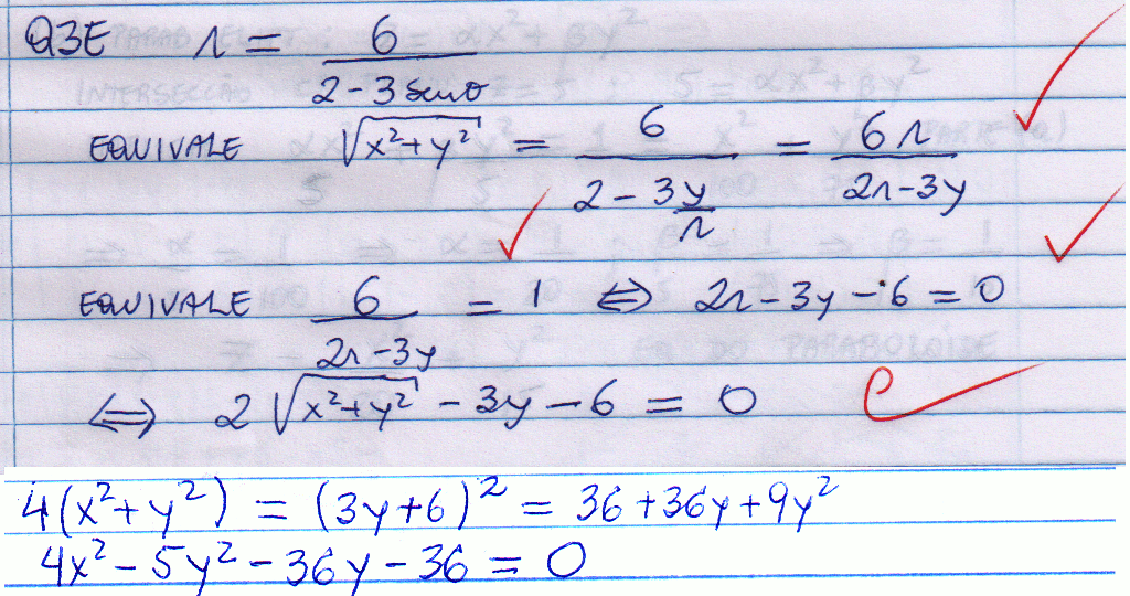
Item 3-E

JBC, 28/07/2017