MAT01191 - Vetores e Geometria Analítica

GABARITO RABISCADO P1-2016/1
Prezado aluno, se você não quer seu trabalho exposto aqui, ou deseja créditos por ele, comunique seu professor a respeito.

Item 1-A

Item 1-B

Item 1-C

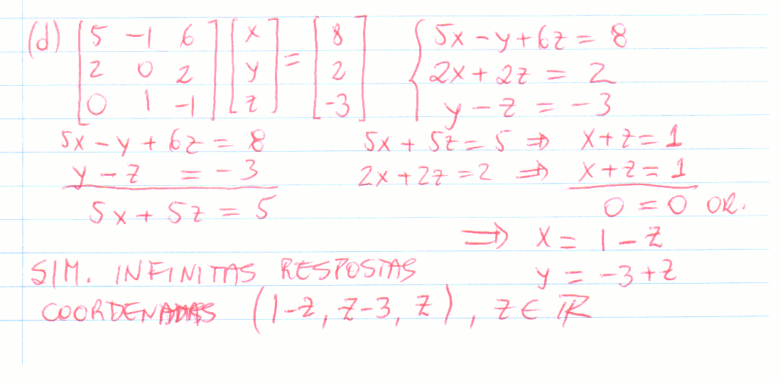
Item 1-D

Item 2-A

Item 2-B

Item 3-A

Item 3-B

Item 4-A e B

JBC, 26/04/2016