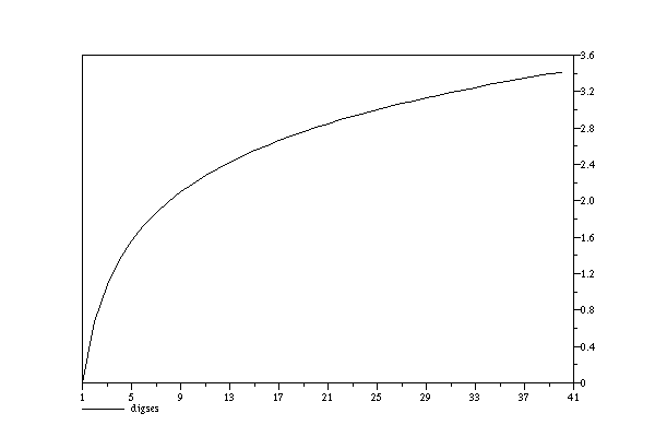
É assim mesmo. O aumento sublinear da exatidão (em dígitos significativos exatos) é comum na avaliação numérica de algumas séries.

Esse exemplo também mostra que, uma vez que a convergência é sublinear (gráfico abaixo: digse/iter), pode ocorrer uma parada prematura do procedimento, uma vez que os termos xn ficam próximos entre sí mais rapidamente do que se aproximam de seu limite. Isso faz com que uma determinada aproximação xn tenha por exemplo 4 dígitos significativos exatos de concordância com x n-1 mas apenas 3 dígitos significativos exatos em relação a resposta exata.