Mat01009 - Métodos Aplicados de Matemática I
Revisitando Cálculo: decomposição em
frações parciais
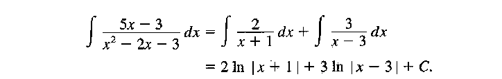
A disciplina de Cálculo Infinitesimal apresenta
importante técnica para simplicar ou decompor expressões racionais, isto
é, da forma P(x)/Q(x) , normalmente no contexto de
integração.







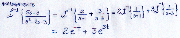
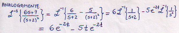
Exemplo 1: obtém a decomposição que
usamos no exemplo acima.






JBC, Nov 2015