click aqui para voltar ao indice geral

Aplicações modernas da Trigonometria

1.- Trigonometria na análise e síntese de SINAIS PERIODICOS



O resultado básico é um dos mais importantes teoremas da Matemática, o

Teorema de Fourier ( 1 820 )

Sendo y = y( t ) uma função periódica de período fundamental T e escrevendo w = 2 / T , então ( sob condições que na prática sempre são verificadas e assim nem as explicitaremos ) esse sinal pode ser escrito como uma soma de senóides, chamada série de Fourier :


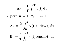
Normalmente, essa soma envolve uma quantidade infinita de senóides. Para obter o valor numérico dos parâmetros ( os R's e os thetas ) dessa série, é conveniente calcular quantidades auxiliares, An , Bn , do seguinte modo:

finalmente, para obter os R's e thetas, resolvemos as seguintes equações:



EXEMPLO
O teorema acima não é uma completa novidade. Com efeito, um caso muito particular seu corresponde às conhecidas fórmulas de linearização, da Trigonometria Elementar:

sen2 t = 1/2 - 1/2 cos 2t = 1/2 - 1/2 sen ( 2t + / 2)
sen3 t = 3/4 sen t - 1/4 sen 3t
sen4 t = 3/8 - 1/2 cos 2t + 1/8 cos 4t = 3/8 - 1/2 sen ( 2t + / 2 ) + 1/8 sen ( 4t + / 2 )
etc, etc.

A genialidade de Fourier está em perceber que ele continua valendo para funções que, aparentemente ao menos, nada tem a ver com senos e co-senos e são apenas periódicas.


2.-   Trigonometria na análise de SISTEMAS DINAMICOS


Obtenção de respostas naturais desses sistemas


Respostas naturais de um sistema dinâmico são as que dá quando não há excitação ou input nenhum atuando sobre o mesmo. O exemplo clássico é o do oscilador harmônico simples, quando oscila unicamente por suas características inerciais e elásticas, sem sofrer a ação de nenhuma força externa.
O modelo matemático das oscilações naturais do oscilador harmônico simples é a equação diferencial :

my" + ky = 0

onde m é sua massa, k sua constante elástica e y = y(t) dá a elongação das oscilações em termos do tempo. Se as oscilações iniciam de uma elongação inicial y(0) = y0 e com uma velocidade inicial y'(0) = v0, então mostra-se que:

O uso das funções trigonométricas continua sendo essencial na análise de sistemas dinâmicos mais complicados e que tenham comportamento oscilatório ( periódico, oscilatório amortecido ou oscilatório explosivo ). Esse tipo de análise é fundamental na Engenharia, Física, Biomedicina, etc.

Obtenção de respostas excitadas desses sistemas

O que vamos dizer a seguir aplica-se ao caso dos sistemas dinâmicos estáveis, que estão entre os de maior interesse nas aplicações na Engenharia. O estável significa que todas as respostas naturais do sistema são transitórias, ou seja : sua magnitude tende a zero ao tempo ir para o infinito.
Esses sistemas tem uma notável propriedade:

basta sabermos o output do sistema quando excitado por inputs senoidais para podermos achar seu output quando excitado por QUALQUER input periódico


Mais precisamente, quando excitados pelo input I = sen wt, eles produzem um output da forma

y = R( w ) sen ( wt + ( w ) )


mais uma parcela transitória, que depende das condições iniciais do sistema, mas que é irrelevante a longo prazo.
As funções R = R( w ) e = ( w ) podem ser achadas tanto analiticamente como a nível de laboratório. Tendo-as, podemos usar o Teorema de Fourier para obter a resposta ( output ) do sistema quando excitado por qualquer input periódico de período fundamental T. Com efeito, supondo o sistema também seja linear ( para que possamos dizer que o output associado a uma soma é a soma dos inputs ), pelo tal teorema, o output será:



click aqui para voltar ao indice geral