O triângulo de Pascal é de Pascal?

Não ! Isso é uma falácia clássica


Qualquer pessoa que tenha um pouco de leitura e bom senso deve no mínimo estar suspeitando que o triângulo aritmético não seja uma descoberta ou invenção de Pascal. Por exemplo: a denominação desse triângulo varia muito ao longo do mundo. Com efeito, se bem que os franceses o chamem de triângulo de Pascal, os chineses o chamam de triângulo de Yang Hui, os italianos o chamam de triângulo de Tartaglia e encontramos outras denominações como triângulo de Tartaglia-Pascal ou simplesmente triângulo aritmético ou triângulo combinatório.

Pelo que temos defendido neste site, essa diversidade de denominaçes não deve ser surpreendente. Com efeito, temos mostrado que para idéias muito simples ou muito úteis - como é o caso da do triângulo aritmético - simplesmente não tem nenhum sentido perguntar "quem foi o primeiro?". Elas foram redescobertas e introduzidas várias vezes e em todos os locais onde se estudou ou estuda matemática.
Vejamos a comprovação desta tése no caso do triângulo aritmético.

volta


Mas, o que é o triângulo aritmético??


é um quadro de forma triangular onde são dispostos, sucessivamente e de cima para baixo, os coeficientes das expansões de:
(a+b)0
(a+b)1
(a+b)2
(a+b)3
(a+b)4
etc, etc
o resultado é um quadro triangular, que se prolonga indefinidamente para baixo e cujas primeiras linhas sao mostradas na figura ao lado.



Como é fácil se perceber, as REGRAS de construção do quadro são:

  • lados formados só de 1
  • os elementos interiores do quadro são obtidos somando os dois elementos imediatamente acima deles
    ( por exemplo, na quinta linha: 4 = 1+3, 6 = 3+3, 4 = 3+1 )
Embora não seja este o objetivo desta matéria, observemos que são várias as UTILIDADES do triângulo aritmético:
  • a principal utilidade, obviamente, é ser um dispositivo mecânico para a fácil geração dos coeficientes de expansôes tipo (a+b) n, com n inteiro positivo.
    EXEMPLO:
    seja expandir (a+b) 5
    Solução:
    os coeficientes estão na sexta linha do triângulo ( a que vem DEPOIS da última linha escrita acima: 1 4 6 4 1 ).
    Usando as regras acima, obtemos como sexta linha:
    1 5 10 10 5 1, de modo que

    (a+b)5 = a5 + 5 a4b + 10 a3b2 + 10 a2b3 + 5 ab4 + b5

  • Extração, possivelmente aproximada, de raízes quadradas, cúbicas, quárticas e etc. Esses procedimentos usavam a expansão do binômio de várias maneiras, uma das mais populares - conhecida há quase 2 000 anos antes de Pascal - usava:

    ( a + b ) 2 = a2 + 2 a b + b2 = a2 + b ( 2 a + b)

    ( a + b )3 = a3 + 3 a2 b + 3 a b2 + b3 = a3 + b ( 3 a2 + 3 a b + b2 )

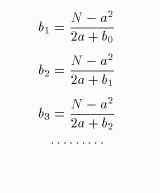
    Vejamos os detalhes, tomando o caso concreto do cálculo de raiz quadrada de N = 51:

    o procedimento buscará escrever a tal raiz quadrada como a + b, de modo que

    N = ( a + b )2 = a2 + b ( 2a + b )

    A obtenção do valor de a é fácil: basta acharmos um valor a tal que a2 seja menor ou igual a N = 51; a seguir obtemos o valor de b como o limite da sequência de aproximações que parte de b0 = 0 e sucessivamente calcula b1 , b2 , etc geradas pela iteração:



    No caso de N = 51, tomando a = 7, obtemos:
       n       bn   
    0 0
    1 0.142 857 143
    2 0.141 414 141
    3 0.141 428 571
    4 0.141 428 427
    5 0.141 428 429
    6 0.141 428 429



    De modo que a raiz quadrada de 51 vale 7.141 428 429 ..., com erro na nona casa decimal.
    No caso de cálculo manual ou ajudado por ábaco, podemos abreviar consideravelmente o trabalho se formos aumentando gradativamente a quantidade de casas com que vamos obtendo as aproximações b n. Por exemplo, quem não dispõe de calculadora eletrônica, acharia mais rápido refazer o cálculo da maneira mostrada abaixo, que acaba produzindo a mesma resposta:

       n       bn   
    0 0
    1 0.1
    2 0.14
    3 0.141
    4 0.141 4
    5 0.141 42
    6 0.141 428
    7 0.141 428 4
    8 0.141 428 42
    9 0.141 428 429



    Um processo absolutamente semelhante se aplica às raízes cúbicas, quárticas, etc; sendo que o denominador das respectivas iterações pode ser mais comodamente achado se usarmos o triângulo aritmético.



  • Uma outra utilidade muito importante do triângulo aritmético é na descoberta de identidades envolvendo os coeficientes binomiais ( ou seja, os coeficientes das expansoes (a+b) n ):


Vejamos um exemplo bem simples de tais identidades:
observe que, no triângulo aritmético, se "descermos" ao longo de uma diagonal de direção \, a soma dos elementos "percorridos" na diagonal tem como valor o elemento, da linha imediatamente abaixo, ao qual chegamos ao "descer" do ponto de parada depois de mudar a direção de caminho.

Vejamos um exemplo concreto: na figura ao lado, o valor da soma 1 + 2 + 3 coincide com o valor do segundo elemento 6 da linha imediatamente abaixo do último elemento somado.
Verifique essas coincidências para outros caminhos diagonais e/ou outros pontos de parada. Com efeito, para quem tem noções de Análise Combinatória, é fácil mostrar a veracidade dessas igualdades e que as mesmas podem ser resumidas pela seguinte bastante útil fórmula combinatória:



Muitas outras identidades, bem menos óbvias, podem ser retiradas do triângulo aritmético e muitas delas tem grande aplicabilidade na Matemática.

  • Conforme descobriu Tartaglia, cerca de cem anos antes de Pascal, o triângulo aritmético também é bastante útil no cálculo de probabilidades. Com efeito, é fácil vermos que os coeficientes das expansões binomiais tem um significado combinatorial e, então, probabilístico.

    Por exemplo:
    - ao jogarmos um par de moedas - temos uma chance em quatro de obtermos duas caras, duas chances em quatro de obtermos uma cara e uma corôa, e uma chance em quatro de obtermos duas corôas; esses valores são os que aparecem na terceira linha do triângulo aritmético. A correspondência se mantém para outras quantidades de moedas, bem como outros problemas de probabilidades discretas que nada tem a ver com moedas ou jogos.



India: 2 000 anos antes de Pascal



A matemática indiana iniciou em cerca de 3 000 AC, na região de Harappa e Mohenjodaro. Era uma matemática bem rudimentar e foi somente com a introdução da religião védica, que acompanhou a invasão ariana c. 1 500 AC, é que passamos a encontrar a resolução de problemas não triviais. A matemática védica era basicamente geométrica, toda voltada para os complicados rituais de construção dos altares para suas cerimonias religiosas.

Cerca de 600 AC, com o esgotamente do vedismo na India, difundiram-se duas outras concepçôes religiosas, o budismo e o jainismo, ambas protestantes dos sacrificíos cruentos dos rituais védicos.
A palavra jaina vem de jin, vitorioso em sânscrito, e indica aqueles que obtiveram vitória sobre os desejos mundanos e que tem os sentidos totalmente sob o controle da vontade. Para atingir essa perfeição, os jainas passavam por um longo treinamento, sendo que o estudo da Ganitanuyoga, ou Matemática, era considerado como um dos exercícios mais nobres e eficazes do mesmo.

Entre os vários temas matemáticos estudados pelos jainas estava a Vikalpa, ou Combinatória. A razão maior da grande atenção que deram à Combinatória era sua concepção atomística do mundo físico. Seu átomo, que chamavam de parmanu, era uma partícula indivisível, atemporal, e tal que apenas sua cor, gosto, cheiro e tactibilidade podiam mudar. Com efeito, seus átomos tinham 5 tipos de cor, 8 tipos de tactibilidade, 5 gostos possíveis e 2 cheiros distintos. Boa parte de sua combinatória envolvia problemas de cálculo das combinações das qualidades dos átomos. Como todo corpo vivo ou físico era composto de átomos, com o passar dos anos, também dedicaram-se a calcular combinações das qualidades de praticamente tudo o que existe de material e até mesmo no mundo das idéias e do espírito:

  • quantos são os perfumes de três fragrâncias que podemos fazer se tivermos cinco fragrâncias disponíveis?
  • quantas são as combinações que podem ser feitas com os seis rasas ( gostos, quais seja: doce, salgado, amargo, adstringente, ácido e azedo ) ?
  • quantas são as combinações das três sílabas: ba, be, bi ?
  • quantos são os possíveis arranjos de objetos que o deus Sambhu pode segurar em suas dez mãos?
  • etc,etc


Os livros indianos eram escritos em folhas de palmeira o que fêz com que poucos deles chegassem aos nossos dias. Para a maioria dos mais antigos livros jainas, temos apenas o nome do livro, raramente o do autor, e poucas informações matemáticas. Ademais, muitos deles não foram escritos em sânscrito. Tudo isso fêz com que ainda sejam muito poucos os estudos sobre a história da matemática jaina.
A tabela abaixo, dá um resumo bem rudimentar, mas significativo, da literatura jaina associada à Combinatória e ao triângulo aritmético:

  matemático     época   livros associados ao triângulo
 ?  300 AC Bhagabati Sutra
 ?  200 AC Sthananga Sutra
 Pingala  200 AC Chanda Sutra
 Mahavira  850 dC Ganita Sara Samgraha
 Halayudha  950 dC Mritasanjivani



Embora os dois primeiros livros acima já tragam regras ( sutras ) para o cálculo de combinações e arranjos, é só com Pingala 200 AC - quase 2 000 anos antes de Pascal - que encontramos o triângulo aritmético.
O envolvimento de Pingala com o triângulo resultou de seu estudo de métricas musicais na versificação. Com efeito, ele observou que a expansão de, sucessivamente, métricas de uma, duas, três, etc sílabas podia ser disposta sob a forma de uma padrão numérico triangular que corresponde ao triângulo aritmético e que ele denominou meruprastara, em homenagem ao sagrado Monte Meru.

Para clarificar, usemos um exemplo numérico:
para achar as combinações das três sílabas ba, be, bi ele ia até a quarta linha do meruprastara, 1 3 3 1, e então concluia:

  • 3 combinações de uma sílaba: ba, be, bi
  • 3 combinações de duas sílabas: babe, babi, bebi
  • 1 combinação de três sílabas: babebi


Para construir o triângulo, Pingala descreve a seguinte regra:
Desenhe um quadradinho; abaixo dele desenhe dois outros, de modo que juntem-se no ponto médio da base dele; abaixo desses dois, desenhe outros três e assim por diante. A seguir, escreva 1 no primeiro quadradinho e nos da segunda linha. Na terceira linha escreva 1 nos quadradinhos dos extremos, e no do meio escreva a soma dos numeros acima dele. Prossiga fazendo o mesmo nas demais linhas.Nessas linhas, a segunda dá as combinações com uma sílaba; a terceira dá as combinações com duas sílabas e assim por diante.
Muitos séculos depois de Pingala, no livro de Halayudha ainda encontramos o meruprastara e a regra de Pingala.

China: 1 700 anos antes de Pascal


O uso que os antigos chineses faziam do triângulo aritmético centrava-se no cálculo aproximado de raízes quadradas, cúbicas e etc.
Os chineses não tinham uma álgebra literal e todo seu envolvimento com problemas algébricos era baseado em uma notação e procedimentos apropriados para o emprego de varetas de cálculo ( instrumento que precedeu o conhecido suan pan, o ábaco chinês ). O triângulo aritmético, que denominavam sistema de tabulação para descobrir coeficientes binomiais, encaixava-se perfeitamente bem nesse esquema.

Num dos livros chineses mais antigos, o Jiuzhang Suanshu ( Nove capítulos da Arte Matemática ), escrito cerca de 100 AC, tem seu quarto capítulo dedicado ao ensino de procedimentos de extração de raízes quadradas e cúbicas. Esses procedimentos são baseados nas identidades, que já apontamos antes:

( a + b ) 2 = a2 + 2 a b + b2 = a2 + b ( 2 a + b)

( a + b )3 = a3 + 3 a2 b + 3 a b2 + b3 = a3 + b ( 3 a2 + 3 a b + b2 )

Um dos procedimentos de cálculo é exatamente o que descrevemos acima. Por exemplo, ele é aplicado na resolução de vários problemas que tem a seguinte estrutura:
Temos uma área quadrada de 55 225 pu ( quadrados ). Qual é o valor do lado do quadrado?
Se aplicarmos o método que descrevemos na introdução, tomando como a = 200, ficamos com a iteração

bn+1 = 15 225 / ( 400 + bn )

que, a partir da clássica semente b0 = 0, produz as sucessivas aproximações 38, 34, 35, 35, 35, etc, ou seja: o valor exato do lado pedido é: 200 + 35 = 235 pu, como o livro responde.

Bem, como já dissemos, o Nove Capítulos resume-se a tratar apenas de raízes quadradas e cúbicas, e para isso não havia necessidade do triângulo aritmético. O mesmo ocorre com o famoso Liu Hui, em seu Jiuzhang suanshu zhu ( Comentários sobre os "Nove Capítulos da Arte Matemática", escrito c. 250 dC.

Assim que, apesar desse envolvimento inicial com o binômio de Newton, o documento chinês mais antigo que temos e que traz o triângulo é o Manual de Matemática de Jia Xian, c. 1 050 dC.

O mais famoso matemático chinês associado ao triângulo aritmético foi Yang Hui c. 1 250 dC. Ele escreveu cerca de dez livros, sendo que em ao menos dois desses ( Alfa e ômega de uma seleção de aplicações de métodos aritméticos e o Uma análise detalhada dos métodos do livro "Nove Capítulos" ) ele estuda e aplica o triângulo aritmético.

Também é importante mencionarmos o livro Precioso espelho dos quatro elementos, escrito c. 1 300 dC por Zhu Shijie. Este livro traz figuras de triângulos com até nove linhas e seu autor os denomina diagramas do método antigo para calcular grandes e pequenas potências. Contudo, conforme já observamos acima, a denominação chinesa mais comum para o triângulo aritmético é triângulo de Yang Hui.

CUIDADO :

A figura ao lado está sendo disponibilizada como um alerta. Já a encontramos algumas vezes como ilustração do envolvimento chinês com o triângulo aritmético. Em verdade, o uso dessa gravura é mais um dos inúmeros erros grosseiros que encontramos em escritos de leigos em História da Matemática. Com efeito, uma atenta observação da mesma mostra que não traz ideogramas chineses e sim japoneses; mais do que isso: é simplesmente imperdoável não se notar que os algarismos no seu triângulo não são chineses e sim algarismos do sistema japonês sangi.
Assim que trata-se de uma gravura japonesa de um livro japonês, aliás bastante famoso e escrito cerca de cem anos depois de Blaise Pascal.
Como qualquer aluno do ensino primário sabe, os japoneses copiaram quase tudo o que os chineses fizeram ou descobriram; o mesmo ocorreu com a matemática tradicional japonesa.



NOTA :
Como se já não fosse bastante difícil para um ocidental ler e guardar os nomes chineses, temos mais um outro problema dificultando o estudo da matemática chinêsa: como transliterar os ideogramas dos nomes chineses?

Os nomes chineses que aparecem acima, bem como em qualquer outra matéria deste site, foram transliterados pelo sistema Pinyin, o mesmo sistema que hoje V. encontra em publicações chinesas oficiais, bem como no cinema, jornais, guias turísticos, e outros documentos do mundo real.
Infelizmente, a maioria dos livros de História da Matemática, e a quase totalidade das publicações a que os professores do ensino primário e secundártio tem acesso, continuam usando o sistema de Wade-Giles, que é mais uma arcaica e obsoleta lembrança do colonialismo britânico.

A tabela abaixo procura atenuar a confusão que resulta dessa lamentável situação:

  grafia pinyin  
( preferida )
  grafia Wade-Giles  
( obsoleta )
  época   livros associados ao triângulo
Liu Hui mesma 250 dC Jiuzhang suanshu zhu
Comentários sobre os "Nove Capítulos da Arte Matemática" )
Jia Xian Chia Hsien 1 050 dC Jia Xian suanjing
Manual de Matemática de Jia Xian )
Yang Hui mesma 1 250 dC Xiangjie jiuzhang suan fa
Uma análise detalhada dos métodos do livro "Nove Capítulos" )
Fasuan qu yong ben mo
Alfa e ômega de uma seleção de aplicações de métodos aritméticos )
Zhu Shijie Chu Shih-Chieh 1 300 dC Siyuan yujian
Precioso espelho dos quatro elementos )

Islamitas: 500 anos antes de Pascal


A reconstrução do início do envolvimento dos matemáticos de religião islâmica com o triângulo aritmético é difícil pois que os principais documentos associados perderam-se na noite dos tempos. Contudo é razoavelmente garantido podermos afirmar que, a maioria dos islamitas aprenderam o triângulo aritmético através de compilações escritas em árabe de livros indianos, como é o caso do Princípios do Cálculo Hindu, escrito por al Jili c. 1 000 dC, e o Coisas suficientes para entender o Cálculo Hindu, por al Nasawi, também em c. 1 000 dC.

Por outro lado, segundo os grandes especialistas em história da matemática islâmita, Roshdi Rashed e Adel Anbouba, o triângulo teria sido redescoberto em 1 007 pelo matemático al Karaji. Esse matemático teria utilizado o triângulo para obter o desenvolvimento de potências quadrática, cúbica e quártica de binómios em seus tratados de álgebra: o al Fakhri e o al Badi.
Cerca de 1 975, os historiadores russos M. A. Abarova e B. A. Rosenfeld estudaram cuidadosamente essas referências e, parece-nos, concluiram que al-Karaji ensinava a calcular ( a + b ) n mas não fazia nenhuma menção do triângulo aritmético: sua técnica seria uma mera elaboração dos métodos de álgebra-geométrica que remontam a Euclides e outros gregos clássicos.

O próximo matemático islamita que envolveu-se com o triângulo aritmético foi o muito famoso poeta e matemático persa Umar al-Khayyami c. 1 150 dC. Em seu Tratado de demonstrações de problemas de Álgebra e Almuqabala, ele diz que escrevera um livro - hoje, totalmente perdido - sobre o triângulo aritmético e sua aplicação na extração aproximada de raízes quadradas, cúbicas, etc, seguindo a tradição indiana. É de se insistir que a extração aproximada de raízes continuou a ser por vários séculos, entre os islamitas, o grande uso do triângulo aritmético. Mas deixemos que o grande al-Khayyami nos diga o que fêz:

os indianos tinham métodos para calcular os lados de quadrados e cubos, ...... Eu escrevi um livro que prova a correção desses métodos, e mostrei que eles realmente chegam à conclusão desejada. Eu também estendi o método para o caso das raízes quarta, quinta e etc, o que não havia sido feito antes. As demonstrações que dei disso são estritamente aritméticas, baseadas nos ensinamentos dos Elementos de Euclides.


Na época de al Khayyami, viveu em Baghdad um outro matemático islamita que teve grande envlvimento com o triângulo aritmético, trata-se de al Samaw'al. Aos 19 anos de idade esse talentoso matemático escreveu um tratado de álgebra, o al Bahir fi'l jabr ( A deslumbrante Álgebra ) , onde corrigiu e expandiu o trabalho de al Karaji sobre o triângulo e o binômio de Newton; seu livro traz uma ricamente decorada figura de um triângulo aritmético de 12 linhas. Entre os notáveis resultados de al Samaw'al, neste livro, está uma demonstração por indução matemática da validade do binômio de Newton.

Nos séculos seguintes, a matemática islamita espalhou-se pelo Norte da Africa. Os maghrebinos tiveram um enorme interesse em problemas de Combinatória, tendo assim um fértil campo de aplicações para o triângulo. Foi a partir daí que a Combinatória chegou até a Europa Medieval, através de divulgadores viajantes como Fibonacci. Esse, incidentalmente, sofreu grande influência de al Samaw'al.

  matemático     época   livros associados ao triângulo
al Jili 1 000 dC Princípios do Cálculo Hindu
al Nasawi 1 000 dC Coisas suficientes para entender o Cálculo Hindu
al Karaji 1 007 al Fakhri
al Badi
Umar al-Khayyami 1 150 dC Tratado de demonstrações de problemas de Álgebra e Almuqabala,
Tratado sobre o triângulo aritmético ????
al Samaw'al 1 175 dC al Bahir fi'l jabr
( A deslumbrante Álgebra )

europeus: 100 anos antes de Pascal


No século que antecedeu Pascal, mais de uma dezena de matemáticos europeus trabalharam com o triângulo aritmético.
O mais antigo deles parece ter sido o matemático alemão Apianus. Esse, em 1 527, publicou um livro - de título: Rechnung, ou seja: Cálculo - cuja capa trazia um desenho do triângulo aritmético.
Mas o alemão que mais divulgou o triângulo foi Stifel, principalmente através da sua muito importante e influente Arithmetica Integra, 1 544. Segundo o historiador Kurt Vogel, Stifel declarou que havia " descoberto os coeficientes com grande dificuldade, nisso nao tendo sido ensinado por ninguém e não tendo podido ter a ajuda de nenhum livro ".

Um pouco depois dos alemâes, alguns matemáticos italianos redescobriram o triângulo. O principal deles foi Tartaglia o qual lhe dedicou muitas páginas de seu enorme livro General Tratato di numeri et misure, 1 556. Embora, hoje pouco conhecido pelos historiadores, esse livro foi o melhor, mais completo e maior tratado de aritmética até então escrito. Segundo Gino Loria, equivaleria a cerca de 4 000 páginas impressas em tipo moderno.
Após Tartaglia, vários outros italianos dedicaram-se ao tema, como os importantes Cardan e Bombelli.

Entre os franceses que antecederam Pascal, podemos encontrar vários que conheciam o triângulo aritmético. Deles, o que mais divulgou o triângulo foi Peletier, através de sua Arithmétique, livro de enorme sucesso na época e que teve várias edições, a primeira em 1 549. Também devemos mencionar: Girard (1629), Mersenne (1636), etc.

  matemático     época   livros associados ao triângulo
Apianus 1 527 Rechnung
( Cálculo )
Stifel 1 544 Arithmetica Integra
Tartaglia 1 556 General Tratato di numeri et misure
Peletier 1 549 Arithmétique
etc etc etc

Mas, e o que fez Pascal?


Em 1 654, um famoso jogador profissional, Antoine Gombauld, pomposamente autodenomidado o Cavaleiro de Méré, escreveu uma carta ao famoso matemático francês Blaise Pascal, propondo-lhe resolver alguns problemas matemáticos que tinha encontrado em suas lides com jogos de azar.

Entre os problemas propostos por de Méré estava o seguinte:
Jogando com um par de dados honestos, quantos lances são necessários para que tenhamos uma chance favorável ( ou seja, de mais de 50% ) de obtermos um duplo-seis, ao menos uma vez?
O interesse de de Méré no problema residia no fato de que sua "solução" para o mesmo não funcionava na prática, produzindo-lhe constantes prejuízos.
Com efeito, ele não conseguia ver o que estava errado em seu raciocínio:
" Quando jogamos apenas um dado, temos chance 1/6 de obter um seis, e como 3 x 1/6 = 50% e 4 x 1/6 = 67%, vemos que precisamos jogá-lo 4 vezes para ter chance maior do que 50% de obtermos, ao menos uma vez, um seis. Ora, quando jogamos um par de dados temos 36 possibilidades, ou seja 6 vezes mais possibilidades de quando jogamos um único dado, consequentemente, precisaremos jogar o par de dados 6 x 4 = 24 vezes para ter chance maior do que 50% de obtermos, ao menos uma vez, um duplo seis".


Pascal percebeu o erro de de Méré e se dispôs a achar a solução correta. Trocando idéias com o grande matemático Fermat, logo se convenceu que a resolução teria de passar pela enumeração combinatorial das possibilidades de ocorrência do duplo-seis. Procurando uma maneira inteligente de fazer essa trabalhosa enumeração, Pascal redescobriu e aperfeiçou uma interpretação combinatória e probabilística do triângulo aritmético, a mesma que Tartaglia já havia descoberto e estudado.

Dessa maneira, conseguiu mostrar que:

  • em 24 lances de um par de dados, a probabilidade de ocorrer, ao menos uma vez, um duplo-seis é de 49.1%
    ( sendo então, ao contrário do que achava de Méré, "desfavorável" ao jogador )
  • em 25 lances de um par de dados, a probabilidade de ocorrer, ao menos uma vez, um duplo-seis é de 50.6%
    ( sendo, agora, "favorável" ao jogador )


Pascal não ficou sómente na resolução desse e outros problemas de de Méré. Com efeito, gastou um ano escrevendo uma monografia de cerca de sessenta páginas sobre o triângulo aritmético: Traité du triangle arithmétique, a qual foi publicada só postumamente, em 1 665. Nessa monografia, Pascal introduziu o triângulo de um modo bem complicado e usando uma notação estritamente geométrica - bem ao estilo clássico, anterior a Viète e Descartes - provou algumas identidades envolvendo os coeficientes binomiais e aplicou o triângulo na resolução de pequenos problemas de probabilidades e de combinatória.

Quase cem anos depois, em 1 739, o matemático inglês de Moivre publicou trabalho em que usou a denominação TRIANGULUM ARITHMETICUM PASCALIANUM para o triângulo aritmético. Dada a repercussão que esse trabalho teve na época, isso acabou tornando consagrada a denominação "triângulo de Pascal" na Inglaterra, França e mais alguns países europeus.

Bibliografia para aprofundamento:


AWF Edwards: Pascal's Arithmetic Triangle,
London: Charles Griffin & New York: Oxford Univ. Press, 1987.

David Fowler: The Binomial Coefficient Function,
Amer Math Monthly 103 (1996)1-17.

N. L. Biggs: The roots of combinatorics.
Historia Math. 6(1979), no.2,109-136.

volta

versão: 23 - fev - 2 001
localize esta página em: http://athena.mat.ufrgs.br/~portosil/histo2.html
© 2 001 por J.F. Porto da Silveira ( portosil@mat.ufrgs.br )
permitida a reprodução, desde que com fins acadêmicos e não comerciais